機械系公式集

 サポート情報

 最終更新2005年01月25日

 

■ お詫びと訂正(2005年01月25日)

下記の部分の数式が間違っておりました。お詫びして訂正いたします。

 

●p.58 最下行
  
 最後の=が抜けていました。 

●p.60 最下行
  
 最後のWが大文字になっていました。 

●p.67 下から4行目
 安全率が5であるから、 、図により 、 

を代入すると、
 [N]、[Pa]の単位およびnが大文字になっていました。 

●p.68 上から4行目
 
 計算間違いでした。 

●p.68 上から6行目
 
 上記の計算間違いの関係で答えが変わっています。 

●p.68 上から10行目
 表より、軟鋼 をSI単位に換算すると 
  

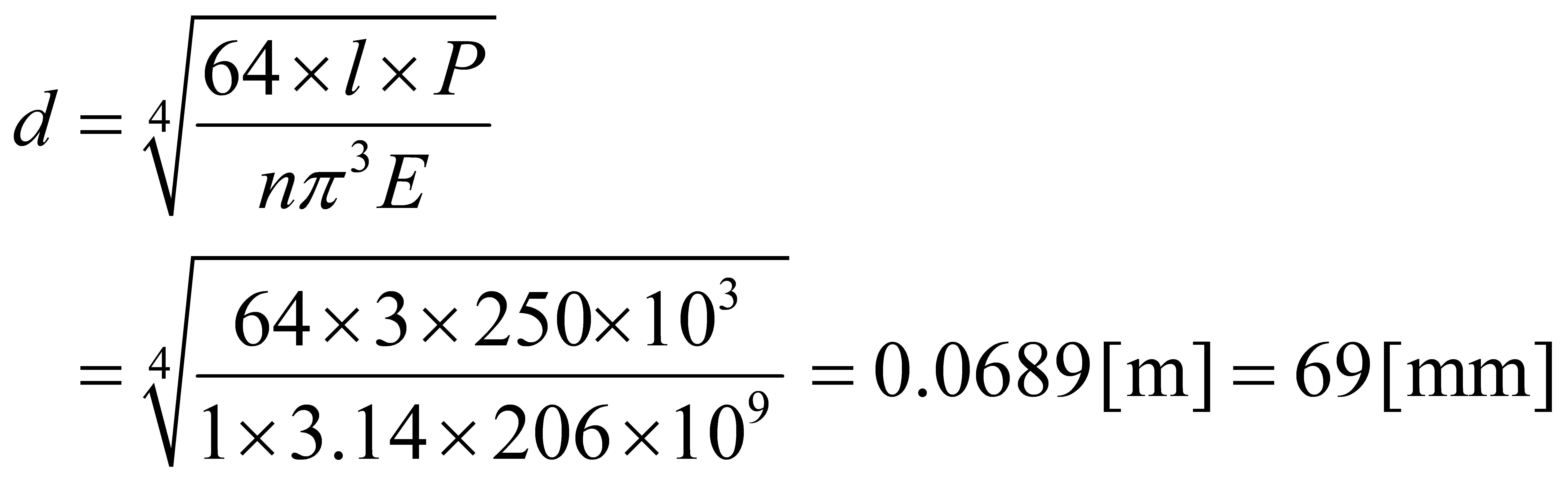
●p.69 例題55の答え
  

●p.110 公式内
 [mm]  [mm4] または[m4] 

●p.122 例題124
 ウォームねじが1条で・・・  ウォームねじが2条で・・・ 

※ その他の修正については、只今確認中です。もうしばらくお待ちください。

 

(株)工学社 第二I/O編集部


本書の内容に関するご質問/お問い合わせは、次の方法で工学社編集部宛にお願いします。

  1. 返信用の切手を同封した手紙
  2. 往復はがき
  3. FAX 03-5269-6031
  4. E-mail 問い合わせフォーム

なお、電話によるお問い合わせはご遠慮ください。

※ご質問/お問い合わせの際、お客様の使用・動作環境などに添えて、具体的な症状をできるだけ詳しくお知らせください。
※FAXでのご質問/お問い合わせの場合は、必ずお客様のFAX番号を明記してください。